
cosx平方的不定积分应该怎么算啊,为什么不用
600x296 - 32KB - PNG
求∫sinx的平方cosx dx 求不定积分
600x800 - 49KB - JPEG

sinx的平方乘以cosx求定积分_百度知道
600x548 - 15KB - JPEG

cosx平方加一分之一积分_360问答
600x491 - 115KB - PNG

1+COSx的平方分之sinx的积分是多少?_360问
600x800 - 34KB - JPEG

cosx的平方的积分
500x375 - 19KB - JPEG

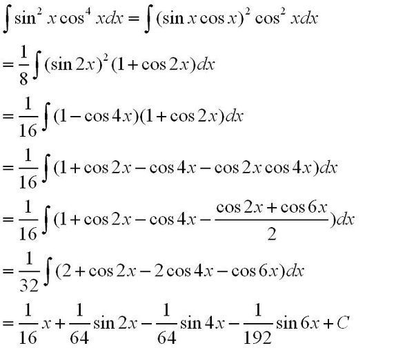
求sinx的平方乘以cosx的四次方的积分_360问答
600x520 - 33KB - JPEG

求x比上1加cosx的平方的和的不定积分
528x419 - 33KB - JPEG

积分1+sin除cosx平方怎么算_百度知道
450x431 - 68KB - PNG

x乘cosx的平方的积分
500x375 - 21KB - JPEG

x乘cosx的平方的积分
500x374 - 24KB - JPEG

x乘cosx的平方的积分
500x439 - 18KB - JPEG

求(1+2sinx)\/cosx的平方dx的不定积分,求过程,谢
600x800 - 53KB - JPEG

x乘cosx的平方的积分
504x300 - 9KB - JPEG

x乘cosx的平方的积分
341x220 - 12KB - JPEG