
常数变易法
300x238 - 11KB - JPEG

常数变易法
250x300 - 12KB - JPEG

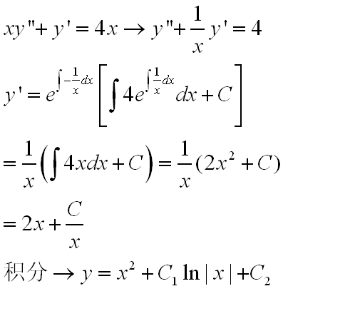
如何用常数变易法求特解?看下例题。_360问答
505x436 - 5KB - PNG

2014年执业药师《药学专业一》药物分析考试
550x439 - 79KB - JPEG

这道题,用常数变易法,怎么写?
1040x780 - 66KB - JPEG

常数变易法详释.pdf
800x1201 - 343KB - PNG

Chapter2.2线性微分方程与常数变易法PPT
1080x810 - 72KB - JPEG

某些非线性常微分方程的常数变易法_数学毕业
993x1404 - 78KB - PNG

为什么可以用常数变易法解微分方程?
750x1334 - 205KB - JPEG

一阶线性方程与常数变易法习题及解答.doc全文
993x1404 - 70KB - PNG

综合课程设计--常数变易法及应用.doc
993x1404 - 124KB - PNG

高等数学,这个常数变易法,具体每一步是怎么体
432x576 - 27KB - JPEG

高数微分方程 常数变易法,求解,需要标准步骤,谢
600x385 - 63KB - PNG

线性方程与常数变易法
1080x810 - 105KB - JPEG

2.2线性方程与常数变易法PPT
1080x810 - 32KB - JPEG