强化训练3第2,3题累加法 - 其他 - 3023视频 - 3
448x252 - 13KB - JPEG

运用累加法求数列通项公式
497x292 - 16KB - JPEG

每日一题及答案解析:累加法求通项公式(10月2
452x340 - 8KB - PNG

数列求和问题,累加法
640x480 - 37KB - JPEG

高中数学,使用累加法,求数列的通项,方法简明实
705x484 - 72KB - JPEG

我不会用累乘法和累加法,求解释-
1052x591 - 37KB - JPEG

我不会用累乘法和累加法,求解释-
576x1024 - 53KB - JPEG

数列的累加法课稿.ppt
960x720 - 43KB - JPEG

变形配准与经验计算剂量累加法用于肺癌放疗计
800x1121 - 404KB - PNG

累加法 3 4题 &n._问他
746x420 - 29KB - JPEG

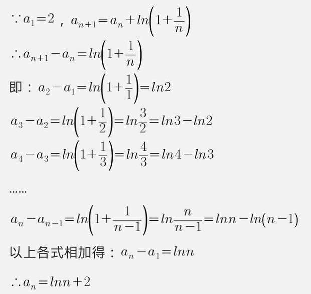
这是数列累加法求和,最后相加得到的式子怎么
620x587 - 23KB - JPEG

累加法求通项公式_问他
561x355 - 13KB - JPEG
题型方法大总结,求数列通项公式an,最后一点必
640x385 - 21KB - JPEG

累加法求数列的通项公式
1080x810 - 98KB - JPEG

求解第一问用累加法,第二问用累积法怎么解?-
700x298 - 87KB - JPEG