
D4_3分部积分法PPT
1080x810 - 79KB - JPEG

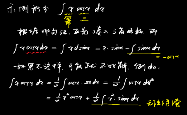
反对幂指三,后者先凑入。能不能帮我举个例子
460x232 - 165KB - PNG

反对幂指三,后者先凑入。能不能帮我举个例子
600x369 - 77KB - PNG

反对幂指三是什么意思?
200x200 - 5KB - JPEG
反对幂指三_我是函数桑的微博_微博
180x180 - 18KB - JPEG

高等数学全部公式详解.ppt
1152x864 - 907KB - PNG

高等数学第四章不定积分讲课课件.ppt 155页
960x720 - 23KB - PNG

2015教师资格考试数学学科笔试之分部积分_教
483x247 - 15KB - JPEG

高等数学(同济大学出版社)总复习资料答案PPT
1080x810 - 55KB - JPEG

在分部积分法使用中,如何选取u和v?
382x335 - 150KB - PNG

高数叔的个人展示页
640x959 - 45KB - JPEG

分部积分法的公式_360问答
600x487 - 27KB - JPEG