
高数 函数极值的第二充分条件
768x1024 - 128KB - JPEG

2011年考研数学高数预测:各种函数导数的计算
550x464 - 37KB - JPEG

高数函数极限运算ppt下载
806x1677 - 241KB - JPEG

高数函数求极限,求指导,谢谢,最好有理由!-
447x225 - 7KB - JPEG

大一高数 函数极限的定义证明
375x500 - 26KB - JPEG

高数函数极限定理证明看不懂,求大神支招
540x960 - 148KB - JPEG

9.9新卡西欧计算器 解高数函数方程学生用 几乎
450x550 - 31KB - JPEG

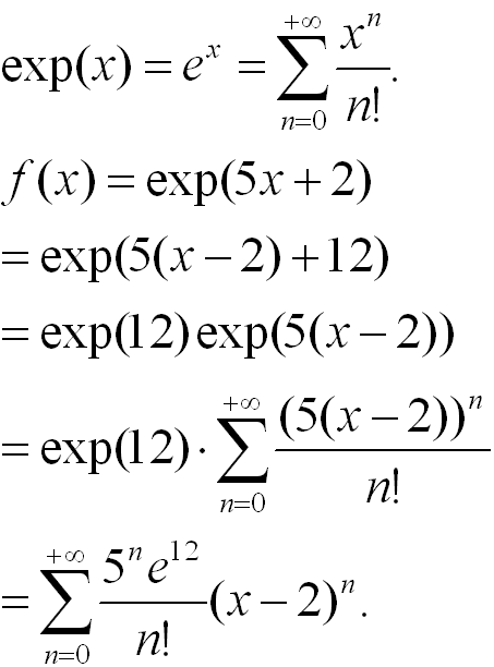
高数函数展开成幂级数
453x612 - 10KB - PNG

高数复合函数的求导方法!求教!_理工学科 - QQ
493x345 - 30KB - JPEG

高数和函数求解
360x256 - 15KB - JPEG

数学运算高数函数方程式数字教学科技动画
720x406 - 59KB - JPEG

高数初等函数连续性例题
768x1024 - 118KB - JPEG

高数,函数间断点的判断,图中求的两个极限看不
460x816 - 37KB - JPEG

考研高数函数、极限、连续重要概念公式定理总
993x1404 - 138KB - PNG

2019考研数学高数基础复习:幂函数及图形
725x355 - 93KB - PNG