
09考研数学重难疑点分析:重积分的复习
550x859 - 73KB - JPEG

重积分的两道题 第二三题。求大神帮我改对啊
583x800 - 31KB - JPEG

重积分的计算问题_360问答
600x450 - 38KB - JPEG

急求数学一题解题方案,重赏!
500x403 - 20KB - JPEG

计算积分I=∫∫∑2(1-x)dydz+8xydzdx-4zxdxdy其
600x450 - 12KB - JPEG

重积分计算
428x514 - 31KB - JPEG

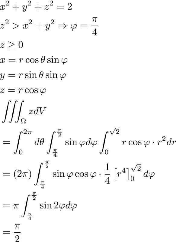
用球面坐标计算三重积分
405x409 - 31KB - JPEG

不可积分问题的转化
500x300 - 25KB - JPEG
重积分及偏导的计算(考研的小伙伴看过来了)
640x853 - 52KB - JPEG

重积分ppt
808x1877 - 254KB - JPEG

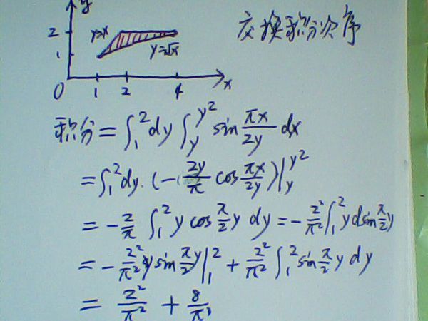
重积分的积分次序的变换
768x1024 - 75KB - JPEG

重积分的概念与性质7-3PPT_word文档在线阅
1080x810 - 38KB - JPEG

重积分的应用_爱问知识人
917x722 - 120KB - PNG

重积分和定积分的转化? - 先忧后乐的回答 - 知
984x1327 - 1799KB - PNG

09考研数学重难疑点分析:重积分的复习_新浪教
550x744 - 40KB - JPEG