
地壳结构
1152x864 - 1258KB - PNG

地壳结构
1152x864 - 1524KB - PNG

地球地质构造与地形
1246x645 - 99KB - JPEG

全屏显示课程章节
780x420 - 40KB - JPEG

地理】解读地壳物质循环过程图
1233x782 - 149KB - JPEG

【地理】解读地壳物质循环过程图
1168x633 - 68KB - JPEG

地壳物质循环过程示意图_世界地理地图查询
1258x639 - 101KB - JPEG

下面左图为某区域的等高线地形图,F地的盛行风向如图所示,右图为该区域P地的地壳物质循环示意图,读图回答1~2 - 上学吧找答案
1837x710 - 229KB - PNG

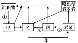
下图表示地壳物质循环示意图.图中①②③④表示各类地质作用.读图回答14-15题. 14.按成因类型.下列岩石中属于图中乙类岩石的是 A.花岗岩 B.砂岩 C.石灰岩 D.板岩 15.关于图示内容叙述正确的是 A.①属于内力作用表现形式 B.②作用形成火山喷发现象 C.③为高温高压下的重熔作用 D.④代表流水侵蚀.搬运作用 题目和参考答案--精英家教网--
359x270 - 20KB - PNG

地质地球所发现青藏高原东缘龙门山的晚新生代造山地球动力学新机制
4104x1696 - 467KB - JPEG
阅读材料,回答下列问题.材料一 “石漠化 全称石质荒漠化.主要指亚热带湿润的岩溶地区.土壤遭受严重侵蚀.基岩大面积裸露.地表呈现出类似荒漠化景观的土地退化现象.位于广西西北部的环江毛南族自治县石漠化现
447x216 - 7KB - JPEG

2015届福建省漳浦三中高三上学期第二次调研考地理试卷(带解析)_高考地理模拟题P2 – 新东方在线网络课堂
532x236 - 74KB - PNG

循环的物质
300x226 - 11KB - JPEG
![下图为地壳物质循环示意图,①②③④表示各类地质作用。据此下列叙述正确的是[ ]A、石英岩属于乙类岩石B、甲、丙类岩 - 上学吧找答案](http://img2.shangxueba.com/daanimg/20141222/10/95E7DAD36E77F00844841FBD5E220047.gif)
下图为地壳物质循环示意图,①②③④表示各类地质作用。据此下列叙述正确的是[ ]A、石英岩属于乙类岩石B、甲、丙类岩 - 上学吧找答案
264x145 - 11KB - JPEG
读图某地地貌景观及其地质构造示意图.完成7-8题. 题目和参考答案
478x162 - 39KB - PNG