
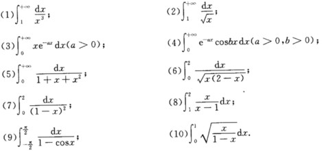
判断反常积分的收敛与发散性
768x1024 - 78KB - JPEG

反常积分判断收敛性详细步骤
362x644 - 20KB - JPEG

含参变量反常积分的一致收敛性二.PPT
1152x864 - 112KB - PNG

含参量反常积分一致收敛的判别法讲义.doc
993x1404 - 44KB - PNG

《数学分析论文-级数、反常积分的收敛判别法
794x1123 - 17KB - PNG

下列反常积分是否收敛?如果收敛求出它的值:
469x221 - 16KB - JPEG

含参量反常积分的一致收敛性的判别方法.doc
1020x1320 - 85KB - PNG

打勾的三题,用定义判别下列反常积分的收敛性
620x465 - 65KB - JPEG

含参量反常积分的一致收敛性的研究.doc
993x1404 - 76KB - PNG

含参量反常积分的一致收敛发判别法及推广重点
794x1123 - 43KB - PNG

反常积分与无穷级数收敛关系的讨论.doc
993x1404 - 89KB - PNG

反常积分啊,收敛发散?
432x576 - 21KB - JPEG

反常积分与无穷级数收敛关系的讨论毕业论文.
993x1404 - 83KB - PNG

下列反常积分收敛的是()。 A. B. C. D.
124x283 - 14KB - PNG

13题思路是什么?主要没理解反常积分收敛概念
375x500 - 35KB - JPEG