
sinx的平方乘以cosx求定积分_百度知道
600x548 - 15KB - JPEG

求∫sinx的平方cosx dx 求不定积分
600x800 - 46KB - JPEG

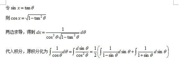
cosx平方加一分之一积分_360问答
600x491 - 115KB - PNG

1+COSx的平方分之sinx的积分是多少?_360问
600x800 - 34KB - JPEG

求sinx的平方乘以cosx的四次方的积分_360问答
600x520 - 33KB - JPEG

积分1+sin除cosx平方怎么算_百度知道
450x431 - 68KB - PNG

cosx的平方的积分
500x375 - 19KB - JPEG

求(1+2sinx)\/cosx的平方dx的不定积分,求过程,谢
600x800 - 53KB - JPEG

x乘cosx的平方的积分
500x375 - 21KB - JPEG

x乘cosx的平方的积分
500x374 - 24KB - JPEG

x乘cosx的平方的积分
500x439 - 18KB - JPEG

求根号下(1+sinX的平方)分之cosX的不定积分
600x236 - 11KB - JPEG

x乘cosx的平方的积分
504x300 - 9KB - JPEG

x乘cosx的平方的积分
341x220 - 12KB - JPEG

cosx的平方在0到二分之派的积分
667x300 - 8KB - JPEG