
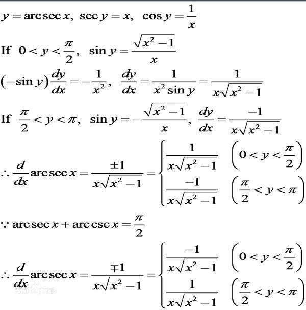
2015年高考数学备考:反三角函数求导公式证明
548x659 - 33KB - PNG

反三角函数求导公式的证明_中考网
594x589 - 37KB - JPEG

2015高考数学备考:反三角函数求导公式证明
539x680 - 17KB - PNG

【求函数的奇偶性】关于反三角函数的求导
560x644 - 41KB - JPEG

反函数的导数、反三角函数的导数教案1
993x1404 - 74KB - PNG

反三角函数的求导公式是?4个
564x709 - 130KB - PNG
挑战压轴题,函数与导数满分之路(附Word)
1080x1527 - 123KB - JPEG

三角函数的反函数求导公式的证明,为什么我证
768x1024 - 75KB - JPEG

求函数的奇偶性】关于反三角函数的求导_尚书
650x923 - 62KB - JPEG

高数有关反三角函数的求导问题,不知反三角函
500x206 - 7KB - JPEG

【求函数的奇偶性】关于反三角函数的求导
517x540 - 20KB - JPEG

反三角函数的求导 求数学大师解释_360问答
600x607 - 43KB - JPEG

2015年高考数学备考:反三角函数求导公式证明
565x619 - 24KB - PNG

三角函数反三角函数积分公式求导公式.doc
993x1404 - 68KB - PNG

反三角函数求导公式证明
497x551 - 7KB - PNG