
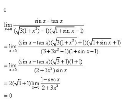
求具体过程
500x209 - 10KB - JPEG

利用二重积分求极限
560x510 - 42KB - JPEG

考研数学三角函数求极限:用例题体会其灵活性
555x552 - 53KB - JPEG

(高数)利用等价无穷小的性质,求极限
410x343 - 52KB - JPEG

洛必达法则求极限
572x351 - 32KB - JPEG

求极限!
540x471 - 124KB - JPEG

高等数学导数求极限问题
788x347 - 102KB - PNG

考研高数求极限的几种方法
400x230 - 11KB - JPEG

用替换等价无穷小量求极限_word文档在线阅读
1431x2016 - 918KB - PNG

学48天基础复习计划,第二天总结(数列求极限的
960x1280 - 92KB - JPEG

学48天基础复习计划,第二天总结(数列求极限的
1280x897 - 64KB - JPEG

学48天基础复习计划,第二天总结(数列求极限的
871x1280 - 80KB - JPEG

求极限lim x趋于无穷大,(1-x)∧1\/x 的极限
500x238 - 12KB - JPEG

学48天基础复习计划,第二天总结(数列求极限的
900x383 - 479KB - PNG

大一高数求极限问题。
816x612 - 41KB - JPEG