
如何求这样复合函数的不定积分?比如8\/cos2x
620x244 - 18KB - PNG

如何证明当x趋于0时1-cos2x是x的高阶无穷小
600x338 - 17KB - JPEG

cos2x等于多少与tanx有关的
533x300 - 10KB - JPEG
cos2x的三次方的不定积分怎么去求
600x800 - 23KB - JPEG

求cos2x的麦克劳林公式
600x800 - 33KB - JPEG

12题cosxcos2x为什么会等于cos3x+cosx?
620x349 - 25KB - JPEG
cos2xcosx分之1的不定积分怎么算?
4160x2336 - 4555KB - JPEG
cos2x怎么来的?过程
390x526 - 17KB - JPEG
求[x*(1+cos2x)]\/2的不定积分
321x380 - 17KB - JPEG

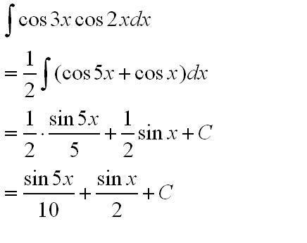
计算不定积分:积分号cos3xcos2xdx
436x345 - 12KB - JPEG
已知f(x)=cosxcos2x…cosnx,求f(0)
600x800 - 28KB - JPEG

求y=(x^2)cos2x的n阶导数
593x256 - 55KB - PNG
cos2xcosx分之1的不定积分怎么算?
460x266 - 4KB - GIF
cos2x=1 x=?
593x800 - 18KB - JPEG

若f(x)的一个原函数为cos2x
568x300 - 24KB - JPEG