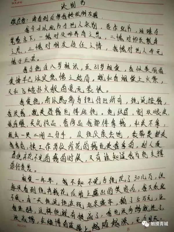
诀别书

诀别书相关图片

《诀别书》独家幕后制作故事首次公开!
640x359 - 70KB - JPEG

一对革命伉俪的诀别书
410x325 - 27KB - JPEG

一对革命伉俪的诀别书
410x351 - 24KB - JPEG

王焯冉烈士写给父母的诀别书
690x460 - 53KB - JPEG

发生了杀人事件,杀了三人,还写了诀别书
600x800 - 95KB - JPEG

王焯冉烈士写给父母的诀别书
690x460 - 50KB - JPEG

内蒙古发生凶杀案:一男子杀三人 …
600x800 - 51KB - JPEG

封面--古风参考
236x295 - 14KB - JPEG

蒋介石办公桌上,永远有一遗像,被周总理
800x388 - 92KB - JPEG

【南强红笺】董云阁的诀别书
992x463 - 69KB - JPEG

放下感情执念的古诗句有哪些?
500x375 - 24KB - JPEG

今天,想把最甜的桔子送给他…(2)
1080x522 - 125KB - JPEG

一对革命伉俪的诀别书
384x406 - 24KB - JPEG

一对革命伉俪的诀别书
384x380 - 28KB - JPEG

张云雷的道歉文,其实是与自己的诀别书
594x482 - 147KB - JPEG

诀别书相关问答

暂无相关问答

大家都在看

相关专题