微分

微分相关图片

偏导数与全微分
1190x1684 - 359KB - PNG

微分形式
394x315 - 20KB - PNG

实际微分电路
234x424 - 67KB - JPEG

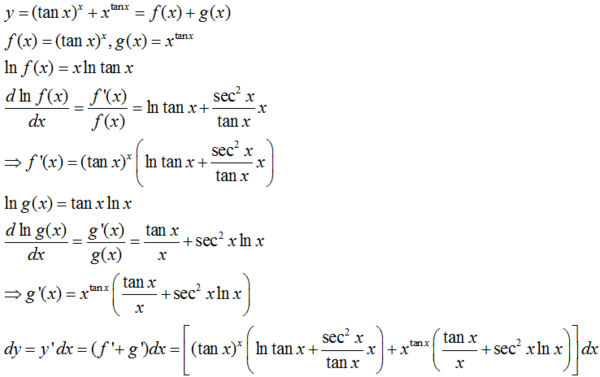
高数求微分
600x377 - 71KB - PNG

微分几何
305x390 - 5KB - PNG

微分公式
467x325 - 19KB - JPEG

微分几何与广义相对论教程2-梁灿彬
448x252 - 23KB - JPEG

弧微分
270x226 - 17KB - PNG

第七章-7.2一阶线性偏微分方程PPT_word
1080x810 - 78KB - JPEG

微分几何|周建伟|高等教育出版社 - 金书网
256x345 - 8KB - JPEG

微分公式
467x325 - 19KB - JPEG

微分公式
467x250 - 19KB - JPEG

微分方程
1121x584 - 726KB - PNG

微分方程
746x397 - 186KB - PNG

微分方程
1138x618 - 472KB - PNG

微分相关问答

暂无相关问答

大家都在看

相关专题