误差函数erf(-1)等于多少
450x800 - 48KB - JPEG

误差函数表_word文档在线阅读与下载_
642x920 - 206KB - JPEG
erf(x)误差函数,已知x,怎么查表求得erf(x)
1080x810 - 196KB - JPEG

fortran dot函数
400x286 - 37KB - JPEG
如图c++编误差函数erf(x)x较小很符合,x较大
882x662 - 596KB - JPEG

excel表格求积的公式是什么
444x687 - 41KB - JPEG
用excel计算dcf模型,DCF估值法的公式怎么用
400x300 - 20KB - JPEG

Vim有哪些曾经有名但是现在过时插件?
1400x810 - 305KB - JPEG

附录C 贝塞尔函数表和误差函数表
784x1188 - 138KB - JPEG

让人相见恨晚的vim插件:模糊查找神器Lead
803x499 - 24KB - JPEG

torch.erf()\/gelu()\/误差函数科普
640x476 - 23KB - JPEG
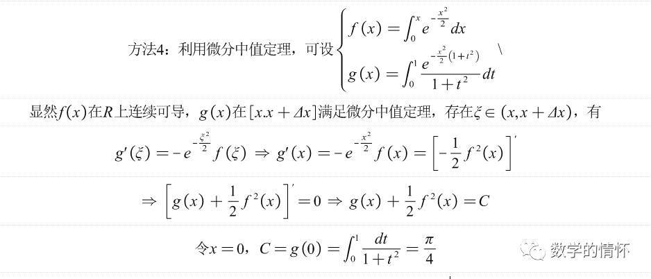
多种方法求解一道高斯积分
938x402 - 30KB - JPEG

陕西汉河电缆ERF电缆价格
750x1309 - 91KB - JPEG

答案为(1\/4)[√π*erf
500x400 - 26KB - JPEG

河南ERF电缆厂
420x254 - 10KB - JPEG