
下面是四种构成蛋白质的氨基酸的结构式.下列
359x168 - 10KB - JPEG

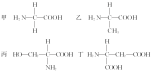
如图是四种构成蛋白质的氨基酸的结构式.下列
377x136 - 6KB - JPEG

如图是四种构成蛋白质的氨基酸的结构式,下列
308x146 - 7KB - PNG

茶叶好不好喝取决于氨基酸?
423x340 - 14KB - JPEG

蛋白质口的基本组成单位氨基酸及其连接方式.
141x200 - 5KB - JPEG
如图是四种构成蛋白质的氨基酸的结构式.下列
308x146 - 7KB - PNG

蛋白质是构成细胞的基本物质.是由多种氨基酸
225x125 - 6KB - PNG

【氨基酸的副作用】【图】氨基酸的副作用有哪
450x348 - 17KB - JPEG

α-丙氨酸是组成人体蛋白的氨基酸之一.如图是
250x143 - 10KB - PNG
下图是某蛋白质分子(由n个氨基酸构成m条肽链
407x184 - 17KB - PNG

下列关于组成生物体的化学元素和化合物的叙述
344x151 - 27KB - PNG

2018届 人教版 组成细胞元素和化合物 单元测试
993x1404 - 100KB - PNG

如图表示不同化学元素所组成的化合物,以下说
177x113 - 8KB - PNG

自然界生命体的有机物组成除C、H、O外还有
147x129 - 7KB - PNG

下列关于构成生物体的元素和化合物的叙述中.
284x135 - 17KB - PNG
本题知识点简单,考查组成细胞的元素和化合物、氨基酸的结构特点和通式,要求考生识记组成细胞的几种
蛋白质在体内可以转化为氨基酸,老鼠干含有丰富的蛋白质,蛋白质由多种氨基酸(如甘氨酸)构成,甘氨酸的
氨基酸的R基一般有什么元素构成 请老师解释一下 1.氨基酸的R基一般有什么元素构成?2.蛋白质.核酸由什么元素
氨基酸的组成:20种蛋白质氨基酸共有五种元素组成:C.H.O.N.S。其中C.H.O.N是4种主要元素。有的还含有P、S
氨基酸的简式为NH2RCOOH,其中R代表烷基 故其包含的元素有:N、H、O、C 当然比如还有含 S 的氨基酸:
若其为假,即M中没有不属于P的元素,首先是氨基酸的结构通式:H│NH2─C─COOH│R这和有机化学是相通的:COOH
氨基酸的元素组成.不是说只有CHONS吗?那血红蛋白的Fe哪来的?生物老师-血红蛋白不是蛋白质么-蛋白质不是
是c,h,o,n 碳氢氧氮