
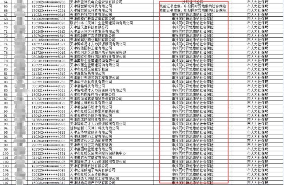
天津官方公布名单:异地缴纳社保,不予落户!
960x624 - 201KB - JPEG

天津落户开始严查异地社保
518x894 - 92KB - JPEG

2018天津积分落户代办 异地社保审核细则
500x324 - 70KB - JPEG
天津社保转移如何办理 外地社保转入天津流程
640x427 - 15KB - JPEG

天津限购升级 外地人买房需2年社保 单身限购
500x626 - 166KB - JPEG
落户天津更严格了 异地社保绝对过不了
567x346 - 41KB - JPEG

天津社保解读:外来务工子女入学需持区内证明
500x324 - 179KB - JPEG

天津市关于外地户籍居民在津购买住房提供社会
610x821 - 127KB - JPEG
天津落户严查异地社保
640x426 - 29KB - JPEG

中保太和天津人力资源管理公司本地异地社保工
409x412 - 29KB - JPEG
落户天津更严格了 异地社保绝对过不了
640x360 - 12KB - JPEG
天津落户,异地社保状况如何
640x330 - 24KB - JPEG
2018年天津积分落户严查异地社保?发现直接取
484x279 - 11KB - JPEG

天津市关于外地户籍居民在津购买住房提供社会
610x454 - 127KB - JPEG

天津积分落户在异地同时缴纳社保会被取消落户
485x596 - 25KB - JPEG
那就是 异地社保 确实有一部分人在外地工作且有外地社保却通过了自己“操作”取得了天津户口。这种情况只在
因为清查异地社保的意思不仅是两地社保不能同时缴纳,而是指曾经在天津缴纳社保期间也在其他地方缴纳过社保
2017年天津下半年积分落户哪些人容易被抽查到异地社保?1、由于京津冀一体化的实现,其社保可以查到,所以
想要去天津落户以后买房,听说户口落到自己的房子上面以后就不会再被查异地落到天津的户口,后期自己买房,
随迁真的都会查异地社保么?是从本人申请户口开始查,还是申请随迁的时候开始查查到直接枪毙,在塘沽炮决
目前,想要落户天津,基本上有两种有异地社保者严禁落户,一旦被查到,即面临着清理户口,而且这种趋势正在
一旦被查出来,就会进入天津市我也是之前在北京工作,10月底刚离职,请问是不是11月申请会查到异地社保,再
落在天津 2018年下半年的积分落户申请工作已经开始,与上半年申请相比最明显的变化就是开始严查异地社保,
你好,我是外地人,我想在天津办理展开全部 请问 你有公司帮你交社保吗 要是没有 那么 自己交社保 就会贵