
把下图(a)和(b)的有限自动机分别确定化和最少
690x240 - 26KB - JPEG

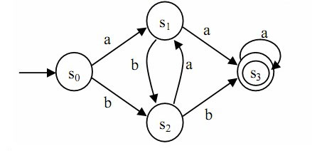
下图所示的有限自动机中,s0 是初始状态,s3 为
439x212 - 23KB - JPEG

有限自动机理论图片
800x800 - 106KB - JPEG

有限自动机及在密码学中的应用
350x350 - 16KB - JPEG

有限自动机的可逆性陶仁骥科学出版社1979年
758x1031 - 75KB - JPEG

有限自动机理论图片
800x800 - 26KB - JPEG

【有限自动机及在密码学中的应用\/图片】高清
800x800 - 56KB - JPEG

有限自动机的可逆性(内页品好平整自然旧) -- 买
700x525 - 86KB - JPEG

有限自动机理论_网上买书_收藏品交易_网上书
420x420 - 17KB - JPEG

形式语言与自动机--有限自动机与右线性文法(一
1152x864 - 134KB - PNG

有限自动机理论(第2版)图片
800x800 - 78KB - JPEG

《有限自动机理论》陈文宇,田玲,程伟,等
400x400 - 15KB - JPEG

有限自动机理论-1章基础知识.ppt
960x720 - 47KB - JPEG

百叶片贴标机自动机标签机图片_高清图_细节
640x442 - 105KB - JPEG

有限自动机理论06章图灵机-简化题库-powerpo
960x720 - 68KB - JPEG
有限自动机(finite automata)亦称时序机,有限离散数字系统的抽象数学模型。一个有限自动机M由五元组(X,Y,S
有限自动机可分为确定的有限自动机(DFA)和不确定的有限自动机(BFA)。其中确定的有限状态自动机和不确定
有限自动机A用来识别字符串,它由5部分组成: 1)alphabet,字符集 2)states,状态集合 3)init,初始状态
1,理解有限自动机的作用;2,利用状态图和状态表表示有限自动机;3,以程序实现有限自动机的运行过程.二,实验
计算机控制系统的控制程序具有有限状态自动机(FA)的特征,可以用有限状态机理论来描述。有限自动机
2.3.2 确定的有限自动机(Deterministic Finite Automaton,DFA)定义2.5 DFA是NFA的一个特例,其中:(1)没有
有限自动机(finite automata)亦称时序机,有限离散数字系统的抽象数学模型。一个有限自动机M由五元组(X,Y,S
有限自动机英文翻译:automata theory…,点击查查权威在线词典详细解释有限自动机英文怎么说,怎么用英语
不确定的有限自动机(NFA):一种数学模型 (1)一个有限的状态集合S (2)一个输入符号集合∑(不包含ε) (3)