
注册岩土工程师,岩土慧才网_主营注册岩土工程
485x668 - 116KB - JPEG

南京代评职称申报盐城代办中级岩土工程师职称
340x287 - 14KB - JPEG

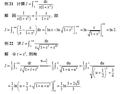
岩土工程师基础辅导:高等数学部分(22)-岩土工
425x327 - 30KB - JPEG

岩土工程师基础辅导:高等数学部分(24)-岩土工
512x296 - 33KB - JPEG

岩土工程师基础考试复习
280x280 - 20KB - JPEG

2011年版注册岩土工程师必备规范汇编(修订缩
300x430 - 91KB - JPEG

【注册岩土挂靠】_注册岩土挂靠地址_注册岩
862x587 - 189KB - JPEG

2014年注册岩土工程师《公共基础》真题(完整
545x468 - 62KB - JPEG

岩土工程师考试试题_考试大纲
309x255 - 33KB - JPEG

《注册岩土工程师必备规范汇编(修订缩印本)》
350x350 - 8KB - JPEG

2017年甘肃注册岩土工程师成绩公布时间:预计
250x333 - 15KB - JPEG

注册岩土工程师专业考试案例分析历年考题及模
391x557 - 14KB - JPEG

注册岩土工程师基础真题试卷-岩土工程师考试
534x685 - 48KB - JPEG

2012注册岩土工程师执业资格考试 基础考试复
339x504 - 34KB - JPEG

【福州转注册岩土工程师寻单位挂靠\/最好是审
710x512 - 39KB - JPEG
注册岩土工程师考试网供2018年岩土工程师报名时间、报考条件、考试时间、考试大纲、考试教材、真题答案、
岩土工程师主要研究岩土构成物质的工程特性。其首先研究从工地采集的岩土样本以及岩土样本中的数据,然后
中华考试网“注册岩土工程师”频道提供2019年岩土工程师考试报名时间、各省人事考试网报名入口、报考条件、
注册岩土工程师即通过国家考试注册认证的岩土工程师。主要研究岩土构成物质的工程特性。岩土工程师首先研究
注册岩土工程师考试网提供:2015年注册岩土工程师报考条件、注册岩土工程师报名时间、注册岩土工程师考试
中国注册岩土工程师考试网一站式提供岩土工程师考试时间、报名时间、报考条件、成绩查询、试题题库、岩土