
如果一个关系模式R的所有属性都是不可分的基
462x281 - 28KB - JPEG

按照有关模式名(属性,属性,…)的格式,将此E-
268x291 - 46KB - JPEG

nba2k14mc模式属性上限相关视频
400x300 - 19KB - JPEG

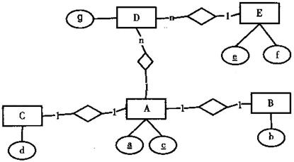
根据E-R 图中给出的词汇,按照关系模式名(属性
556x372 - 22KB - JPEG

开放型商业模式NICE属性和价值创造关系的实
800x1131 - 438KB - PNG

根据E-R 图中给出的词汇,按照关系模式名(属性
496x430 - 24KB - JPEG

根据E-R 图中给出的词汇,按照关系模式名(属性
586x421 - 33KB - JPEG

根据E-R 图中给出的词汇,按照关系模式名(属性
533x257 - 19KB - JPEG

设有关系模式R(U,F) 属性集U=(A,B,C,D,E,G,H
600x400 - 38KB - JPEG

给定关系模式R(U,F),其中:属性集U={A,B,C,D,E
750x564 - 249KB - JPEG

给定关系模式R(U,F),其中:属性集U={A,B,C,D,E
746x554 - 415KB - JPEG

已知有如下关系模式:R1(a,b,c),R2(c,d,a),R3(e,
415x229 - 13KB - JPEG
![[技巧] Photoshop的色彩模式详解-基础属性RG](http://cimg.163.com/catchpic/5/5A/5A92DD4C4480F31376AE80BB00FE3AF2.jpg)
[技巧] Photoshop的色彩模式详解-基础属性RG
250x235 - 34KB - JPEG

在关系数据库设计中,关系模式是用来记录用户
653x252 - 62KB - PNG

不定属性对象关系图
447x528 - 42KB - JPEG
关系模式的规范化理论,所有的关系模式最低达到第一范式(1NF),第一范式要求就是每个属性都是不可再分。
关系模式是指关系的描述,现实世界随着时间在不断地变化,因而在不同的这些约束或者通过对属性取值范围的
百度题库旨在为考生提供高效的智能备考服务,覆盖领域有高考、财会类、建筑工程、职业资格、医卫类、计算机
关系模式的任何属性()。A.不可再分B.可再分C.属性名可以不惟一D.以上都不是请帮忙给出正确答案和分析,
关系实际上就是关系模式在某一时刻的状态或内容。也就是说,关系模式是型,关系是它的值。关系模式是静态的
关系模式的任何属性_。A.不可再分 B.可再分 C.命名在该关系模式中可心不惟一 D关系模型中,一个关键字是_。
关系模式的任何属性(A)。A.不可再分B.可 本站所转载之内容皆来自网络,只为给中国网友提供解决方案!如本
[单项选择题]关系模式的任何属性。关键词:模式 属性 A:不可再分 B:可再分 C:命名在该关系模式中可以不