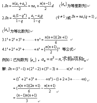
数列求和的七种方法

数列求和的七种方法相关图片

数列求和的常用方法
418x523 - 30KB - JPEG

数列求和方法及易错题剖析
1430x1977 - 823KB - PNG

高一数列求和
500x667 - 31KB - JPEG

打印预览
313x332 - 6KB - PNG

高中数学:等差数列求和公式 求和的七种方法
600x751 - 37KB - JPEG

公比数列求和
500x370 - 9KB - JPEG

准高三家长注意!2020高考数学必考这6类
609x684 - 65KB - JPEG

专题能力训练12数列的通项与求和理.doc
860x1218 - 34KB - GIF

数列知识点、公式总结大全!附数列求和
793x878 - 305KB - PNG

等比数列求和公式的几种推导方法
1536x2360 - 31KB - PNG

高二数学数列求和方法总结
576x524 - 182KB - PNG

数列求和几种方法
1080x810 - 156KB - JPEG

等差数列求和公式_等差数列通项公式
354x301 - 9KB - JPEG

数列求和(公开课)PPT
1080x810 - 45KB - JPEG

等差数列求和公式及推导
807x322 - 15KB - PNG

数列求和的七种方法相关问答

暂无相关问答

大家都在看

相关专题