无限不循环小数

无限不循环小数相关图片

圆周率是个无限不循环小数,我们把它算到10万亿位有什么意义
640x427 - 33KB - JPEG

网友问:圆周率无限不循环是十进制原因吗?
600x423 - 31KB - JPEG

6.1.1平方根(2)(无限不循环小数)
1080x810 - 157KB - JPEG

6.1平方根2无限不循环小数
1080x810 - 112KB - JPEG

怎么确定圆周率π是无限不循环小数?
1080x812 - 172KB - JPEG

无限循环小数能做加减乘除四则运算吗?
1728x581 - 202KB - JPEG

圆周率日丨π,一个神奇的无限不循环小数…
640x271 - 19KB - JPEG

如何证明圆周率是无规律的无限不循环小数?
1080x2923 - 416KB - JPEG

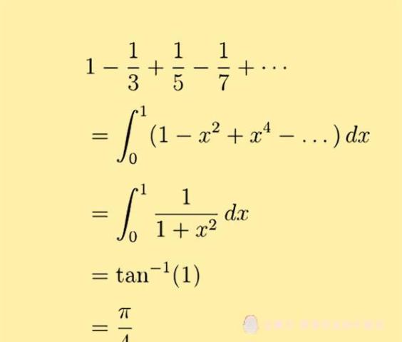
圆周率是无限不循环小数,那么我画个圆,圆
564x480 - 11KB - JPEG

圆周率是无限不循环小数,那么我画个圆,圆
640x392 - 14KB - JPEG

圆周率日丨π,一个神奇的无限不循环小数…
640x302 - 20KB - JPEG

圆周率日丨π,一个神奇的无限不循环小数…
640x302 - 21KB - JPEG

圆周率日丨π,一个神奇的无限不循环小数…
600x405 - 6KB - JPEG

无限不循环小数化分数
500x674 - 12KB - JPEG

圆周率是无限不循环小数,超级计算机已算
640x445 - 32KB - JPEG

无限不循环小数相关问答

暂无相关问答

大家都在看

相关专题