
云计算开发学习实例:Python3 阶乘实例
500x366 - 27KB - JPEG

8的阶乘等于多少_360问答
233x510 - 41KB - JPEG
阶乘表生成器1.2.0.0官方版
318x227 - 43KB - JPEG

阶乘计算器下载_Factorial(计算器)8.0.0.0
503x348 - 35KB - JPEG

excel中fact函数有什么作用?如何使用?_
500x400 - 25KB - JPEG

阶乘计算器|阶乘表生成器1.0 绿色版_常用
112x208 - 3KB - PNG

编程世界C语言入门笔记
597x304 - 22KB - JPEG

寒假推荐阅读:走进安野光雅美丽的数学世界
563x465 - 26KB - JPEG
对任意正整数n.定义n的阶乘n!如下:n!=n×-
150x209 - 4KB - PNG

java程序设计课程--实验报告-实验08
642x1049 - 68KB - JPEG

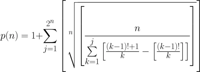
如假包换,这真的是素数的公式!
640x231 - 12KB - JPEG

干货 | 小升初面试,你准备好了么?
640x708 - 38KB - JPEG

什么叫素数(这真的是素数的公式!)
1080x391 - 31KB - JPEG

2015.10.25早读资料一、二古诗文默写与
580x784 - 268KB - JPEG

阶乘的公式运算法则
570x228 - 16KB - PNG