
sin90等于
499x353 - 8KB - JPEG

sin10度等于
747x300 - 5KB - JPEG
sin90度是多少,为什么?
494x475 - 39KB - JPEG

sin90怎么算
500x350 - 19KB - JPEG

sin90等于
500x375 - 16KB - JPEG

sin90怎么算
500x667 - 20KB - JPEG

sin0-90
598x598 - 8KB - GIF

sin90度等于多少少
500x667 - 34KB - JPEG

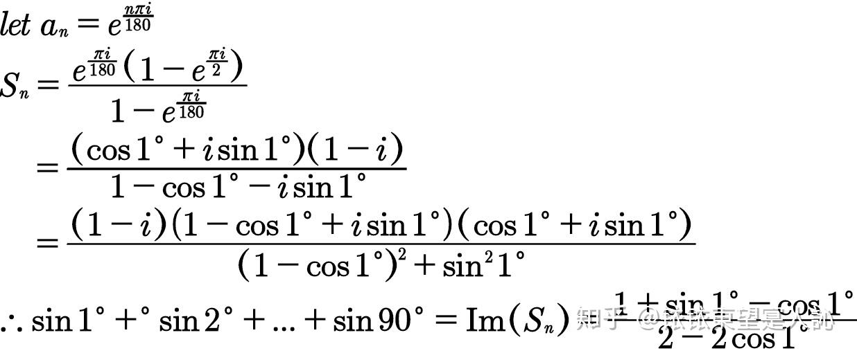
怎么求sin1°+sin2°+sin3°…+sin90°?
1236x510 - 83KB - JPEG

sin(90°-16°)=cos16° 是怎么来的?
1682x869 - 69KB - JPEG

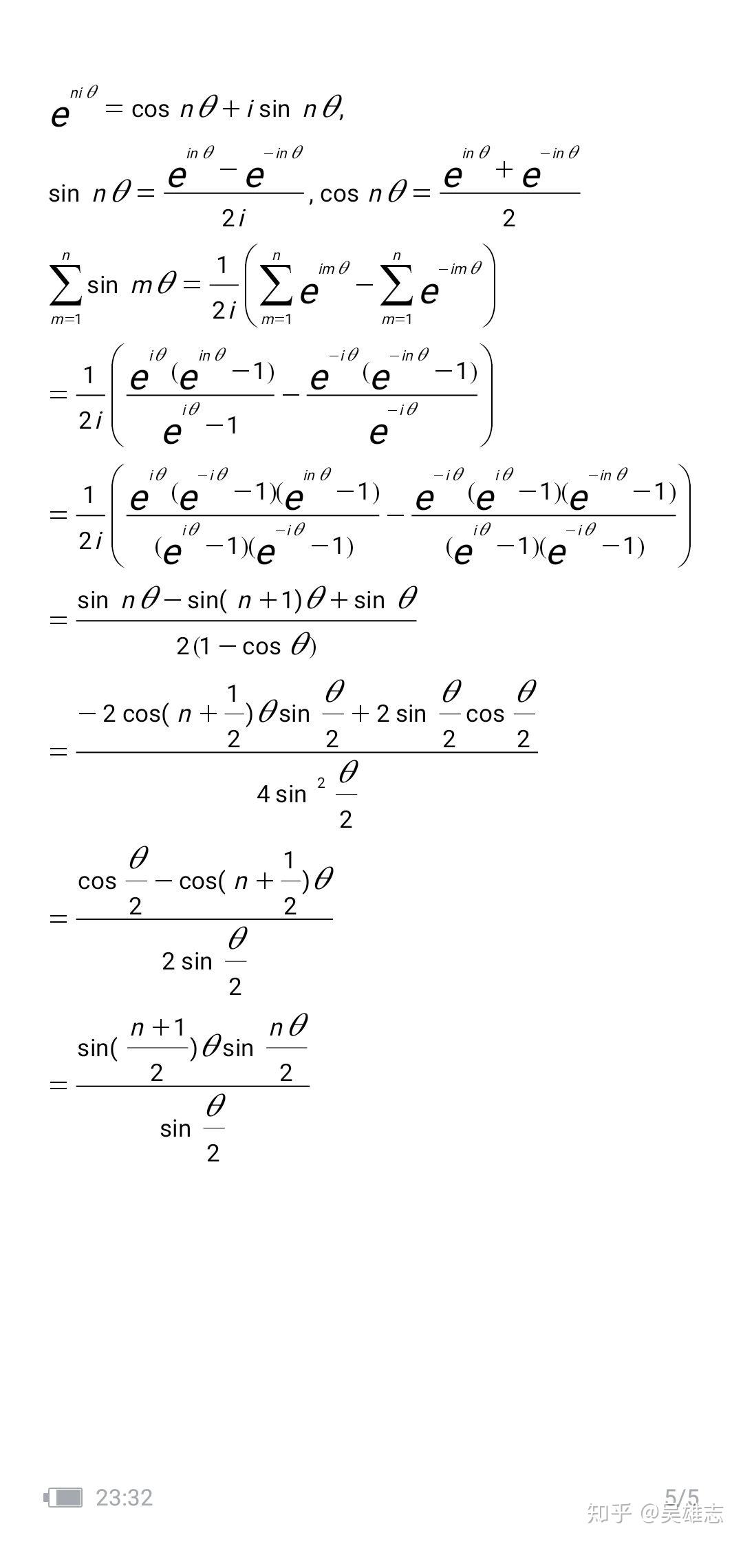
怎么求sin1°+sin2°+sin3°…+sin90°?
1080x2244 - 139KB - JPEG

sin90°怎么算的
600x800 - 27KB - JPEG
cos怎么变sin能给个具体例子吗我?
383x203 - 7KB - JPEG

每日一练10.21 (sin90°)已解析
665x241 - 24KB - JPEG
SIN多少度等于根号2
495x319 - 23KB - JPEG