海淀一模_北京卷

海淀一模相关图片

海淀一模语文
1806x2617 - 104KB - PNG

2016年海淀高三一模试卷讲评(全)
1080x810 - 120KB - JPEG

海淀语文一模
1297x1848 - 1622KB - PNG

2017海淀一模数学
600x800 - 162KB - PNG

一、海淀一模文科排名
465x810 - 45KB - PNG

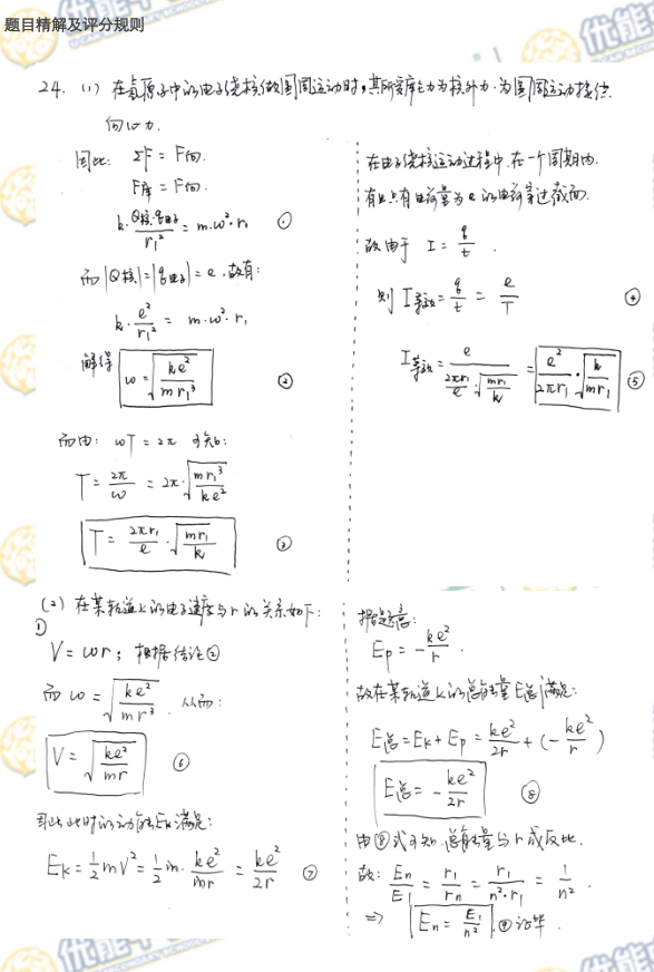
2019海淀一模物理
500x724 - 62KB - JPEG

2016年北京市海淀区高三一模化学试题
528x793 - 53KB - PNG

2017海淀一模试题
582x351 - 21KB - PNG

2014海淀一模理综试题及答案解析(新东方版)
587x872 - 234KB - PNG

2019海淀一模反馈
1028x1328 - 218KB - PNG

2014海淀一模排名分数线
627x1025 - 62KB - JPEG

2019海淀一模物理
500x706 - 36KB - JPEG

海淀一模试卷讲评
1080x810 - 131KB - JPEG

2016年海淀区一模排名_张老师_一问百答
3264x1112 - 151KB - JPEG

2019海淀一模物理平均分
500x707 - 69KB - JPEG

海淀一模相关问答

2013年北京市海淀一模初三数学25题最后一问怎么做?(要详细
答:
2013海淀 一模 英语 答案
答: 第一部分:听力理解(共三节,30分) 第一节(共5小题;每小题1.5分,共7.5分) 1. C 2. A 3. B 4. C 5. B 第二节(共10小题;每小题1.5分,共15分) 6. C 7. A 8. A 9. B 10. B 11
2011海淀一模分数线
答:http://hi.baidu.com/vvhsky/blog/item/9ac3c3188594ef09413417cf.html?timeStamp=1302425504140 海淀一模分数线 希望能对你有些帮助!呵呵~
2010海淀一模英语答案
答: 英语答案 参考答案及评分标准 第一部分:听力理解(共三节,30分) 第一节(共5小题;每小题1.5分,共7.5分) 1. B 2. B 3. C 4. A 5. B 第二节(共10小题;每小题1.5分,共15分)
2013北京海淀一模物理题(14) 放在水平桌面上的甲、乙两个圆
答: 向左转|向右转
请问哪位有11年海淀一模的英语阅读理解文章翻译?
答:同学你好,我是来自新东方优能学习中心的老师钟雷 以下是海淀一模阅读理解译文,祝你取得好成绩。 A 周一:我在这儿,周围什么都没有。这次野营的想法起初并不顺利。天正
2012海淀区高三一模语文难吗
答:2012年北京市海淀区高三一模考试语文作文题目 作文(60分) 阅读下面的文字,按要求作文。 诗人说:“白的花胜似绿的叶,浓的酒不如淡的茶。”的确,生活中有人偏爱白
今年北京东城,西城,海淀一模什么时候考?
答:我就知道我们海淀一模是4月5日和6日 二模貌似是5月6日和7日``` 老师说的时候特意记了下
北京2013西城一模和海淀一模那个更具有参考价值?我觉得西城
答:海淀的题一般比较难 一二模的卷子一直都是以西城和海淀为主 两个卷子各有千秋吧 要说难度肯定是海淀区 但是如果要说对命题的把握以及基础题的话 西城更好些 不可否认西
海淀一模李太白作文怎么写?
答: 【题目】近作家提议我应设立世界性文奖李太白文奖要做诺贝尔文奖用我眼光标准评鉴世界文争夺我世界文界更语权我作品走向世界我要评点世界提议引发思考请自选角度自

大家都在看

相关专题