
【2017年整理】小儿烧伤儿科常用的液体是.d
141x200 - 20KB - PNG

医学中的计算公式.doc全文-毕业论文-在线文档
993x1404 - 116KB - PNG

水泵耗电量计算公式?_360问答
517x354 - 326KB - PNG

用Auto CAD技术计算土方工程量方法浅析
422x256 - 29KB - JPEG

暖通各种设计的参数计算.xls
723x1025 - 53KB - PNG

油库液体容积式流量计示值误差测量不确定度评
382x216 - 11KB - JPEG

梁世中主编生物工程设备第二版通风发酵罐全解
141x200 - 4KB - JPEG

怎么在excel中输入公式进行计算?急_360问答
600x237 - 25KB - JPEG

怎样在输入公式计算出每个地区的合计销售额占
630x419 - 98KB - PNG

用excel输入个人所得税的计算公式,怎么输入啊
600x329 - 183KB - PNG

计算如下(点击放大)
970x618 - 56KB - JPEG

如何在word表格中输入计算公式?
640x302 - 21KB - JPEG

浅谈低频小功率三极管的输入电阻的计算.pdf
800x1168 - 360KB - PNG

在excel表格中如何在计算一个公式后另下面的
530x213 - 18KB - JPEG
.jpg)
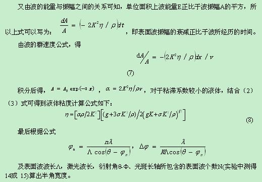
低粘液体表面波衍射条纹半角宽度与粘度关系的
519x360 - 31KB - JPEG
关于液体压强的计算公式的一些说明(摘自百度知道) 专业文档 专业文档是百度文库认证用户/机构上传的专业性文档,文库VIP用户或购买专业文档下载特权礼包的其他会员用户
输液速度计算公式 yanglixia20|2017-01-16 |举报 专业文档 专业文档是百度文库认证用户/机构上传的专业性文档,文库VIP用户或购买专业文档下载特权礼包的其他会员用户可用
液 体 重 量 计 算 公 式 a4925582|2018-07-01 马上扫一扫 手机打开 随时查看 手机打开 注:使用该公式计算50%以上容量时, 需计算出剩余容量,再使用总容量减去 剩余容量即得
液体泄露流量与时间的函数关系是什么… Q=-dh/dt*S=CA*(gh)^0.5,解此微分方程可得 h=(H^0.5-CA/S*g^0. 液体流量的计算公式和单位是什么…流速-是在单位时间内液体流过某
固体间的压强总是可以用P=F/S来计算)。但 P=ρgh这个公式根据液体本身的特性 z为竖直向下的坐标。液体的压强是由液体的质量力引起的,当液体对地球来说是静止时
液体体积的计算公式是p=m/v。 液体是三大物质形态之一。它是没有确定的形状,往往受容器影响。但它的体积在压力及温度不变的环境下,是固定不变的。此外,液体对容器的边施加压力和和其他物态一样。这压力传送往四面八方,不但没有减少并且与深度一起增加水越深,水压越大的原因。增温或减压一般能使液体气化,成为气体,例如将水加温成水蒸气。加压或降温一般能使液体固化,成为固体,例如将水减温成冰。然而,仅加压并不能使所有气体液化,如氧,氢,氦等。体积volume,也称为容量、容积,是物件占有多少空间的量,体积的国际单位制是立方米。一件固体物件的体积是一个数值用以形容该物件在三维空间所占有的空间,一维空间物件如线及二维空间物件如正方形在三维空间中均是零体积的。
由(2)式的推导基础与过程不难看出,只要液体压强的计算公式成立,那么这一计算连通均质液体对容器底部压强的公式也必定成立。不仅如此,对于连通均质且处于静态平衡的液体
对静止液体,就是初中的公式 压强P=ρgh 压力F=PS 如果受力表面不规则,需要积分计算
液体体积的计算公式是p=m/v。 液体是三大物质形态之一。它是没有确定的形状,往往受容器影响。但它的体积在压力及温度不变的环境下,是固定不变的。此外,液体
当前页为液体重量计算公式价格信息展示,该页所展示的液体重量计算公式批发价格、液体重量计算公式报价等相关信息均有企业自行提供,液体重量计算公式价格真实性、准确