
潍坊公布620家小饭桌信息 存安全隐患可拨12
710x937 - 135KB - PNG

冰城食药监公布206家放心小饭桌名单
400x294 - 34KB - JPEG

垦利县对8家学生小饭桌进行公示 市民可监督
500x490 - 96KB - PNG

家长注意 东营这124家小饭桌已登记备案
500x354 - 128KB - JPEG

淄博266家 小饭桌 纳入监管 遇安全隐患可举报
550x662 - 92KB - JPEG

保定公布市区257家合格登记小饭桌名单 家长必
550x381 - 159KB - PNG

2016年滕州已备案的秋季学生小饭桌名单_社
689x449 - 223KB - JPEG

河口区正规小饭桌名单出炉 你选对了吗?
800x669 - 242KB - PNG

栖霞学生小饭桌备案名单公布_栖霞_大小新闻
506x260 - 37KB - JPEG

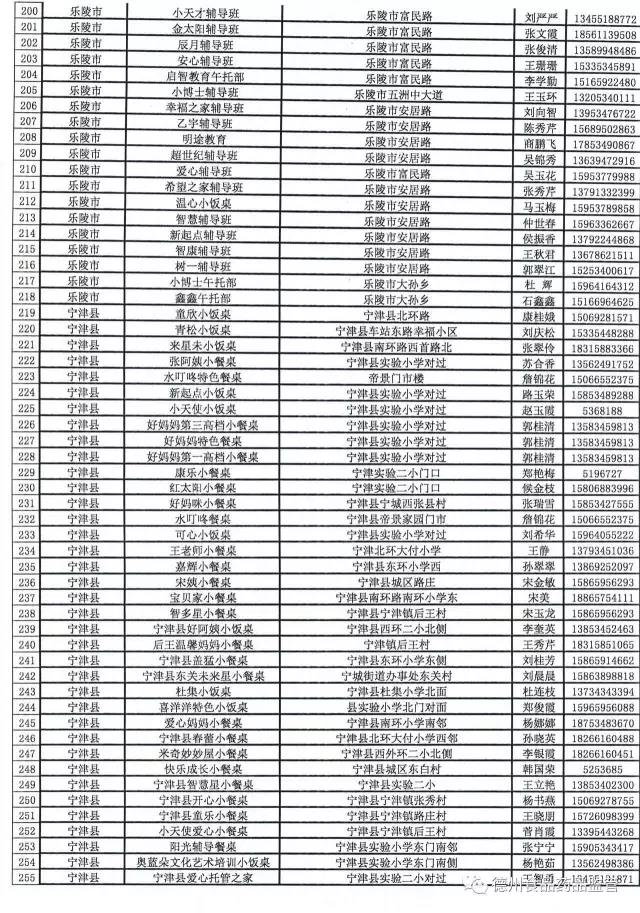
请您监督!德州公示527家小饭桌登记备案情况
640x913 - 185KB - JPEG

济南1555家小饭桌公示!省食药监局请您来监
600x300 - 35KB - JPEG

青岛公布新学期小饭桌名单 发现不在列的可举
600x420 - 401KB - PNG
东营小饭桌公示了!具体到门牌号,快查查!
550x846 - 51KB - JPEG

山东12113家学生小饭桌都能查到,庆云也可以
600x376 - 38KB - JPEG

50多家小饭桌全备案全公开有监管 - 三九养生堂
400x400 - 40KB - JPEG
具备餐饮服务许可证和从业人员健康证、食材新鲜无污染、消毒卫生良好的小饭桌。如果发现小饭桌存在食品安全隐患,市民可拨打12331电话投诉举报
小饭桌,小学生达五六十人。民心不满,怨声载道,多部门举报无果。邻里纠纷很多,快点管 您反映的问题应向单位坐落地的劳动监察部门及社会保险
到卫生局投诉。
这种情况是可以投诉或者举报的,只要是在法定之外的时间段都可以举报,有条件可以拍下制造噪音的视频资料作为证据,同拨打当地的物业电话。在处理期间如果受不了噪音,可
投诉祥隆万象城所谓“艺心成长乐园”非法经营黑饭桌及培训班,每天三十多个孩子吃饭 经检查发现:被举报的祥隆万象城1-7-501确实从事小饭桌
名单上有“小饭桌”的名称、开办人、经营地址以及联系方式。市民如发现“小饭桌”存在食品安全隐患,可拨打12331电话进行投诉举报。如选择的小
无证经营小饭桌怎么举报,区里不管,举报过没人查 热门城市 ABCDE FGHJ KLMNP QRSTW XYZ 手机快车 1.浏览器输入 m.lawtime.cn即可访问 2.扫描二维码直接访问 手机百
“小饭桌”有问题家长怎么投诉? 更新时间:2015-05-21 16:25:22贡献者:聊城百科团队点击: 学校周边的“小饭桌”是市民关注的热点问题,孙峰说,为保障全市学生就餐安全,近
相关问题推荐:想换小饭桌结果原来的小饭桌多收费该怎么投诉了 想换小饭桌结果原来的小饭桌多收费该怎么投诉了 想换小饭桌结果原来的小饭桌多收费该怎么投诉了 发布者
现将各县区登记的914家学生“小饭桌”进行公示,欢迎广大群众和社会各界予以监督。对“小饭桌”存在经营不规范或其它食品安全隐患,请您拨打12331电话进行投诉举报。