
某双代号网络计划如下图,其关键线路为()A 1-2
326x173 - 15KB - JPEG

图所示双代号网络计划的关键线路为() A.①→⑧
742x329 - 18KB - JPEG

双代号网络图关键线路的确定--标号法_建设工
281x205 - 41KB - JPEG

双代号网络图中时间参数的计算步骤包括:①确
445x190 - 15KB - JPEG

项目施工过程中,可能发现在地质资料中未发现
344x187 - 12KB - JPEG

某工程双代号网络计划如下图所示,其中关键线
466x251 - 15KB - JPEG

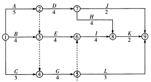
某工程双代号网络计划如下图所示,其关键线路
533x197 - 32KB - PNG

某工程双代号网络计划如下图所示,其中关键线
402x216 - 8KB - JPEG

某工程双代号网络计划如下图所示,其中关键线
461x184 - 17KB - JPEG

某分部工程双代号网络计划如图所示,其关键线
297x162 - 20KB - JPEG

某工程双代号时标网络计划如下图所示,其关键
562x219 - 34KB - JPEG

某工程双代号网络计划如下图所示(时间单位:天
474x186 - 12KB - JPEG

项目盈利能力分析指标中,()是评价项目盈利能力
549x231 - 22KB - JPEG
.jpg)
某分部工程双代号网络计划如下图所示,其关键
406x167 - 14KB - JPEG
.jpg)
某双代号网络计划如下图所示,其中关键线路有
314x131 - 9KB - JPEG
还是运筹学等数学科需要掌握的部分,那么我们应该怎么判定双代号网络计划的关键线路呢?百度经验:jingyan.
双代号网络图关键线路的确定方法 摘要:本文从双代号网络计划特点和关键线路的定义出发,通过对网络计划的
关键线路是指 ( ) A. 单代号网络计划中总时差为零的线路 双代号网络计划中无虚箭线的线路
在线互动式文档分享平台,在这里,您可以和千万网友分享自己手中的文档,全文阅读其他用户的文档,同时,也
双代号网络计划中持续时间最长那么,如何理解“自终点至起点没有波形线的线路是关键线路”这句话
双代号网络图中关键线路的确定有哪些方法?未解决问题 等待您来回答 奇虎360旗下最大互动问答社区
授人以鱼不如授人以渔;标号法是—种快速寻求网络计算工期和关键线路的方法,下面将其计算步骤示例如下:
因为在双代号网络图中,波形线表示的那么,如何理解“自终点至起点没有波形线的线路是关键线路”这句话哪?
通过比较②③④和③④⑤历时长则双代号网络图关键线路 双代号网络计划图 双代号关键线路