
浅议软件公司是怎样选出好软件开发项目经理的
713x481 - 64KB - JPEG

普通软件项目开发过程规范
491x312 - 20KB - JPEG

完美的软件项目开发团队结构_管理实践
352x220 - 11KB - JPEG

软件项目外包平台网站有哪些?
500x360 - 18KB - JPEG

合格的软件开发项目经理智力智商管理实务
418x333 - 27KB - JPEG

中科院量子信息基地项目破茧 国产软件迎来新
400x266 - 71KB - JPEG

软件公司的软件开发项目取得成功的关键在于,
547x322 - 47KB - JPEG

青岛58同城网招聘软件开发项目组长人才招聘
500x667 - 56KB - JPEG

项目计划管理在软件研发中的应用研究_软件学
307x262 - 16KB - JPEG

软件项目验收报告模板 new.doc
993x1404 - 42KB - PNG

使用VIM开发软件项目6:文件浏览和缓冲区浏览
1020x768 - 123KB - JPEG

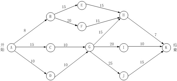
某软件项目的活动图如下所示。图中顶点表示项
509x204 - 15KB - JPEG

下图是一个软件项目的活动图,其中顶点表示项
601x277 - 23KB - JPEG

软件外包|软件项目众包平台-大大神网
501x300 - 19KB - JPEG

普元:避免软件项目失控 平台化是企业首选
453x336 - 47KB - JPEG
weixin_40467130:《需求分析过程》那里,写的太笼统了,里面说详细过程描述见《软件工程案例教程-过程
软件项目管理案例教程,现在越来越多的行业意识到信息化的优势,用软件系统做管理是各行各业发展的一个大
谁能给我详细介绍一下一个软件的展开全部 一般的软件测试流程是这样: 1.拿到需求说明书,开始对需求进行
《软件工程与项目案例教程》是 2011年电子工业出版社出版的图书,作者是《全国高职业教育计算机系列规划
青春校友录>项目开发计划说明书 为了让客户更加清楚软件的开发过程与进度,增加与客户的交流 1.1.3.
提供软件工程项目案例的内容摘要:和培训(离线模拟销售)等功能。系统应当有高的可靠性和安全性要求:1、
《软件项目管理案例教程》是2005年1月31日机械工业出版社出版的图书,作者是韩万江、姜立新。本书既适合
釆越软件拥有专业的.net、java、IOS、Android开发工程师,具有丰富的物联网、移动互联网、大数据应用的项目
如题,越快越好~我明天就交了,现在当然,在软件项目里,进度的变化是较常见的事情。在本案例中,采用里程