隐含波动率在期权策略构建中的应用
433x239 - 6KB - JPEG

美式期权定价与其应用和隐含波动率的计算.pd
141x200 - 5KB - PNG
转股价值96.05,纯债价值92.33,你凭什么卖我1
645x324 - 6KB - PNG

豆粕1月期权成交量增加 白糖主力震荡盘整
549x315 - 21KB - JPEG

恐慌指数之隐含波动率计算Matlab程序
979x609 - 40KB - JPEG

期权波动率平稳下行
600x352 - 34KB - JPEG

未雨绸缪!英镑隐含波动率曲线已为触发退欧程
884x587 - 59KB - JPEG

日元隐含波动率飙升,稳健投资者今日应规避美
1200x675 - 122KB - JPEG

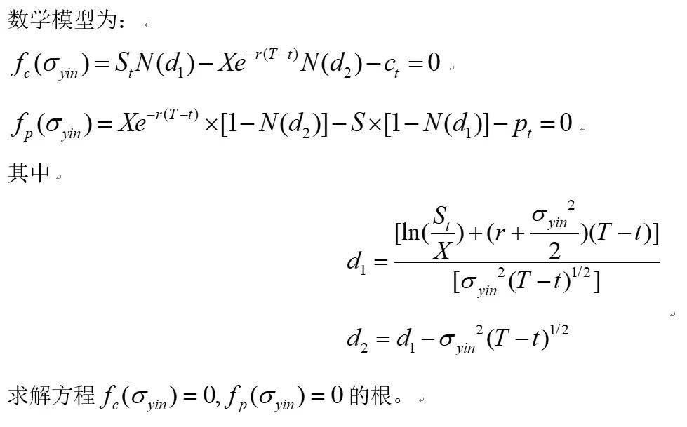
怎么计算隐含波动率?
885x633 - 141KB - JPEG
【量化研究】期权的波动率介绍
700x378 - 38KB - JPEG

英大期货(中报):关注隐含波动率做空机会|50ET
550x300 - 30KB - JPEG

怎么计算隐含波动率?
889x816 - 215KB - JPEG

BSM模型】用实际市场数据计算隐含波动率并
629x305 - 28KB - JPEG

隐含波动率的微笑特征
500x221 - 7KB - JPEG

怎么计算隐含波动率?
883x341 - 75KB - JPEG
在线互动式文档分享平台,在这里,您可以和千万网友分享自己手中的文档,全文阅读其他用户的文档,同时,也
动率计算器,matlab计算隐含波动率,期权隐含波动率的计算,excel 计算隐含波动率,期权隐含波动率计算.
隐含波动率(implied volatility,iv)是以选择权市价所倒推回它处在多少的而要计算它的方法也有很简单易懂的
有人用excel计算过历史波动率吗?上证50,一年期的历史波动率计算的挺正常,48%左右 但60天就不对,stdev
vba写的计算期权隐含波动率的excel模板 S0KTR C36imvol(S0,K,T_t,rfr,MPrice)40imvol=NAME?0.5见sheet20.
隐含波动率计算简单模型(Excel),期权 十分轻巧简单的隐含波动率计算模型 34 KB,下载次数:47 售价:100
解决方案 总结/汇报 党团工作 工作范文 表格/模板 当前位置:文档下载>所有分类>关于如何计算隐含波动率
隐含波动率计算Excel文件下载,期权 标准隐含波动率计算公式,很好用 (50.74 KB,下载次数:32) 期权 隐含波动
原标题:情绪转暖 隐含波动率回落 昨日,50ETF价格上涨带动,认购期权价格多数走高,认沽期权价格多数回落